[BOJ 백준] 게임 개발(1516) Java
링크 : https://www.acmicpc.net/problem/1516
1516번: 게임 개발
첫째 줄에 건물의 종류 수 N(1 ≤ N ≤ 500)이 주어진다. 다음 N개의 줄에는 각 건물을 짓는데 걸리는 시간과 그 건물을 짓기 위해 먼저 지어져야 하는 건물들의 번호가 주어진다. 건물의 번호는 1부
www.acmicpc.net
문제 설명 :
숌 회사에서 이번에 새로운 전략 시뮬레이션 게임 세준 크래프트를 개발하기로 하였다. 핵심적인 부분은 개발이 끝난 상태고, 종족별 균형과 전체 게임 시간 등을 조절하는 부분만 남아 있었다.
게임 플레이에 들어가는 시간은 상황에 따라 다를 수 있기 때문에, 모든 건물을 짓는데 걸리는 최소의 시간을 이용하여 근사하기로 하였다. 물론, 어떤 건물을 짓기 위해서 다른 건물을 먼저 지어야 할 수도 있기 때문에 문제가 단순하지만은 않을 수도 있다. 예를 들면 스타크래프트에서 벙커를 짓기 위해서는 배럭을 먼저 지어야 하기 때문에, 배럭을 먼저 지은 뒤 벙커를 지어야 한다. 여러 개의 건물을 동시에 지을 수 있다.
편의상 자원은 무한히 많이 가지고 있고, 건물을 짓는 명령을 내리기까지는 시간이 걸리지 않는다고 가정하자.
입력 :
첫째 줄에 건물의 종류 수 N(1 ≤ N ≤ 500)이 주어진다. 다음 N개의 줄에는 각 건물을 짓는데 걸리는 시간과 그 건물을 짓기 위해 먼저 지어져야 하는 건물들의 번호가 주어진다. 건물의 번호는 1부터 N까지로 하고, 각 줄은 -1로 끝난다고 하자. 각 건물을 짓는데 걸리는 시간은 100,000보다 작거나 같은 자연수이다.
출력 :
N개의 각 건물이 완성되기까지 걸리는 최소 시간을 출력한다.
예제 입력 :
10 -1
10 1 -1
4 1 -1
4 3 1 -1
3 3 -1
예제 출력 :
10
20
14
18
17
접근법 :
1) 어떻게 풀 것인가?
문제에서 고려해야할 부분은 크게 2가지이다.
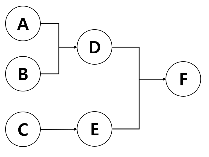
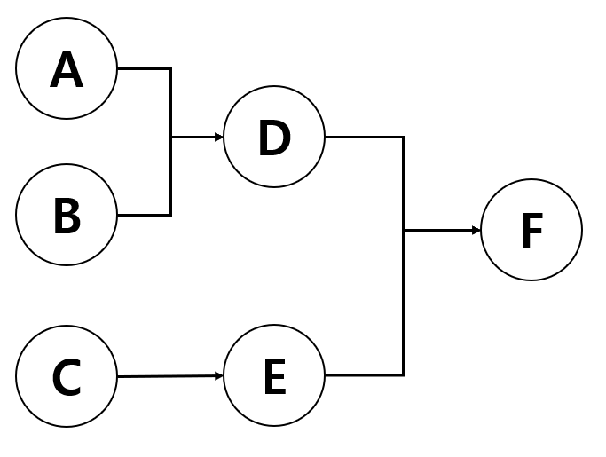
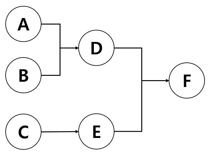
① 선행 건물을 반드시 먼저 지어야한다.
② 여러 건물을 동시에 지을 수 있다. (→ 선행건물 건설시간 중 최댓값만 이용)

최소시간 출력을 생각하기 이전에, 반드시 건물의 상대적인 순서를 고려해야한다.
상대적인 순서(선행조건)을 지켜서 수행하는 알고리즘으로 위상정렬(topological sort)이 있다.
위상정렬의 핵심은 indegree 배열을 만들어 자신을 향하는 화살표가 0개가 될때,
즉, 선행조건이 모두 해결될때 실행할 수 있게 만드는 것이다.
이를 위해 입력시 각 건물의 입장에서 아래 사항을 준비해야한ㄴ다.
⑴ 선행건물 개수 (indegree 배열) - 각 건물을 짓기 위해 먼저 지어야하는 건물 개수
⑵ 건물의 후행건물 인접리스트 (ArrayList) - 건물을 다 짓고 나서 다음 건물에게 알려야하니까
이후 선행건물이 0개인 건물들을 초기 Queue에 add하고
Queue에서 poll할때 (건설이 이뤄질때)
후행 건물들의 ⑴ indegree를 빼주고 ⑵ 최댓값을 갱신하고 ⑶ indegree 0일 경우 Queue에 넣으면 된다
시간제한으로 어려운 문제라기보단,
위상정렬 진행시 DP와 유사한 방식(기본적인 점화식, 최댓값 갱신)을 활용해 값을 갱신해야하는 문제
참고 : 위상정렬
https://gmlwjd9405.github.io/2018/08/27/algorithm-topological-sort.html
[알고리즘] 위상 정렬(Topological Sort)이란 - Heee's Development Blog
Step by step goes a long way.
gmlwjd9405.github.io
혹시 위상정렬 자체가 익숙하지 않다면 아래 문제를 먼저 추천
문제링크 : https://www.acmicpc.net/problem/2252
해설&코드(JAVA) : https://subbak2.tistory.com/10
[BOJ 백준] 줄세우기(2252) Java
링크 : https://www.acmicpc.net/problem/2252 2252번: 줄세우기 N명의 학생들을 키 순서대로 줄을 세우려고 한다. 각 학생의 키를 직접 재서 정렬하면 간단하겠지만, 마땅한 방법이 없어서 두 학생의 키를
subbak2.tistory.com
2) 시간복잡도
위상정렬 시간복잡도 O(V+E)로 최대로 잡아도 O(V^2), 500^2로 여유있다.
(Java 기준 - 296ms)
3) 공간복잡도
N이 500이므로 특별히 고려하지 않음.
4) 풀면서 놓쳤던점
"② 여러 건물을 동시에 지을 수 있다." 문제 조건을 놓쳐서,
DP적인 요소 - 위상정렬시 타겟건물의 선행 건설시간 중 MAX 값으로 갱신하는 과정에서 실수가 있었다.
// 2-2) 타겟건물은 아직 건물을 지을 수 없는 상태
// → 현재 상태에서 타겟건물의 ans는 선행건물의 건설시간 중 최댓값 - ans를 최댓값으로 갱신시켜야함
buildingList[adjId].ans = Math.max(buildingList[adjId].ans, buildingList[id].ans);
5) 이 문제를 통해 얻어갈 것
① 단순 위상정렬 (순서 확인)과 달리, N개 노드의 최소시간을 확인하면서 DP 맛보기를 할 수 있다.
② 최솟값을 출력해야하는 경우 중간 과정에서는 최댓값을 이용하는 경우가 있음을 확인한다.
Java 코드 :
import java.io.*;
import java.util.*;
// 백준 1516 게임 개발
public class Main {
static int input; // 입력받은 정수 (임시 변수)
static int N; // N : 건물의 수
static building[] buildingList; // 건물정보 리스트
static Queue<Integer> queue; // 위상정렬용 큐
static StringBuilder sb; // 정답 출력용 StringBuilder
// 건물 정보 클래스
public static class building {
int time; // 각 건물 1개의 건설시간
int indegree; // 건물의 선행조건 개수
int ans; // 선행건물 포함 최소 건설시간
ArrayList<Integer> adjList; // 이 건물이 지어져야 지을 수 있는 건물 리스트
public building() {
this.time = 0;
this.indegree = 0;
this.ans = 0;
this.adjList = new ArrayList<Integer>();
}
}
public static void main(String[] args) throws IOException {
BufferedReader br = new BufferedReader(new InputStreamReader(System.in));
StringTokenizer st;
// 1. 입력
// 1) N개의 건물정보 생성
N = Integer.parseInt(br.readLine());
buildingList = new building[N + 1];
for (int i=1; i<=N; i++) {
buildingList[i] = new building();
}
// 2) N개의 건물정보 입력
for (int i = 1; i <= N; i++) {
st = new StringTokenizer(br.readLine());
// 2-1) 입력된 시간 정보 받기
buildingList[i].time = Integer.parseInt(st.nextToken());
// 2-2) -1이 입력될때까지 입력받기
input = Integer.parseInt(st.nextToken());
while(input!=-1) {
// 2-2-1) 선행건물 개수 증가시키기
buildingList[i].indegree++;
// 2-2-2) 선행건물의 인접리스트에 현재 건물 id를 추가
buildingList[input].adjList.add(i);
// 2-2-3) -1 입력 재확인
input = Integer.parseInt(st.nextToken());
}
}
// 2. 위상정렬 재료 만들기
// - 선행건물이 없는 경우 (indegree = 0)인 경우 큐에 넣기
queue = new ArrayDeque<Integer>();
for (int i = 1; i <= N; i++) {
if (buildingList[i].indegree == 0) {
queue.add(i);
}
}
// 3. 위상정렬
while(!queue.isEmpty()) {
// 1) 선행 건물이 더이상 없는 녀석을 뽑아서 최종 건설시간에 자기 자신을 더해줌
int startId = queue.poll();
buildingList[startId].ans += buildingList[startId].time;
// 2) 자신을 지어야 지을 수 있는 건물들에게 선행건물의 건설이 끝났음을 알림
for (int targetId : buildingList[startId].adjList) {
// 2-1) 선행건물의 개수 빼주기
buildingList[targetId].indegree--;
// 2-2) 타겟건물은 아직 건물을 지을 수 없는 상태
// → 현재 상태에서 타겟건물의 ans는 선행건물의 건설시간 중 최댓값 - ans를 최댓값으로 갱신시켜야함
buildingList[targetId].ans = Math.max(buildingList[targetId].ans, buildingList[startId].ans);
// 2-3) 타겟건물의 선행건물 개수가 0이면 큐에 넣기
if (buildingList[targetId].indegree == 0) {
queue.add(targetId);
}
}
}
// 4. 정답 출력
sb = new StringBuilder();
for (int i = 1; i <= N; i++) {
sb.append(buildingList[i].ans + "\n");
}
System.out.println(sb);
br.close();
}
}